
KidzNest
Hydromtor Track is an application, to monitor water tank level status featured with automation turn On and Off. It allows user to access and track motor working status from remote, which typically provides real time information on water usage level. It also helps in tracking history of motor running schedules, which also focus on reducing water wastage through water tank over flow.
Role
UI/UX Designer
Duration
2 months
Porject
Smart Home
What is KidzNest
KidzNest is a mobile application designed to provide a safe digital entertainment space for children. It offers engaging activities such as watching cartoons, playing simple games, drawing, and listening to music in a controlled environment built specifically for kids.
The app ensures children can enjoy digital entertainment without accessing other apps or inappropriate content. Parents can secure the app with authentication, manage screen time, and control the content their children can view.
A key feature is secure exit control, which prevents children from leaving the app or switching applications unless a parent enters the password, maintaining a safe and focused digital environment.

Problem Statement
With the increasing use of smartphones and tablets, children often use mobile devices for entertainment. However, many children quickly learn how to navigate devices and exit apps meant for them. As a result, they may end up accessing platforms like YouTube or scrolling through apps such as Instagram, even when the device was given to them only for kids’ activities. This creates several concerns for parents:
Exposure to unfiltered or inappropriate content
Difficulty controlling screen time
Lack of visibility into what children are watching or doing
Many kids’ apps provide entertainment but do not effectively prevent children from leaving the app or accessing other content, which makes it challenging for parents to maintain a controlled digital environment.

Goal
The goal of this project is to design a child-friendly entertainment platform combined with strong parental controls that allows children to enjoy digital activities safely. The app aims to: Provide a fun, engaging, and interactive environment for children Help parents monitor and manage their child's screen time Prevent children from exiting the app without parent authentication Allow parents to curate or upload selected content they want their children to watch The design focuses on creating a balance between entertainment for kids and control for parents, ensuring a safe and structured digital experience.
Design Thinking Process

User Research

Interview Feedbacks

Insights from the Research
The research revealed several key insights about parents’ expectations from kids entertainment apps:
Parents prioritize safety and content control when children use mobile devices.
Many parents worry that children exit kids apps and access other platforms.
Parents want age-appropriate, educational, and entertaining content in one place.
A screen time control feature is essential to help parents manage usage.
Parents prefer apps that are simple, visually engaging, and easy for children to navigate.
These insights confirmed the need for an app like KidzNest, which provides a safe, controlled, and engaging digital environment for children while giving parents better monitoring and control.
User Persona

Empathy Map

User Journey Map

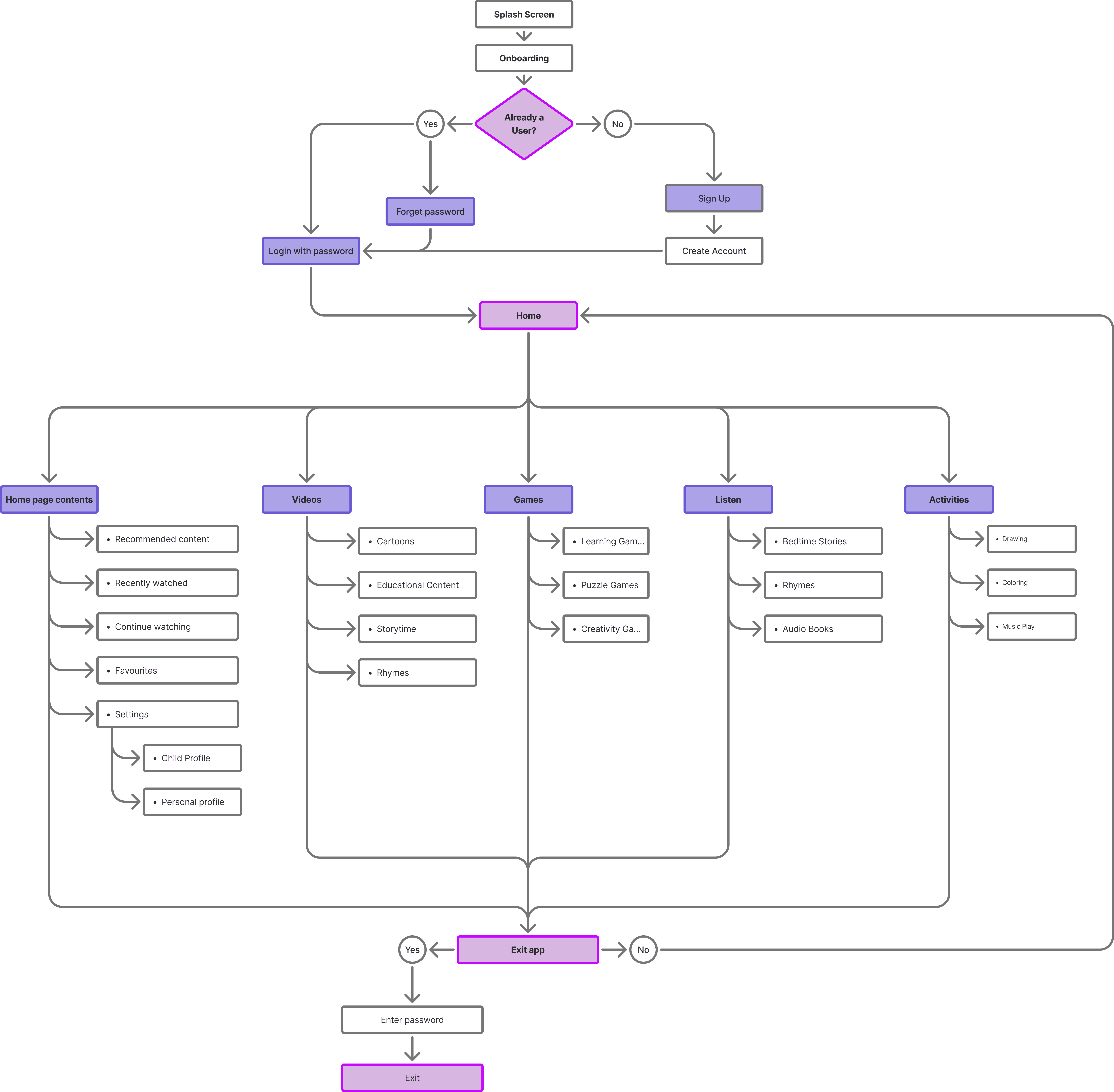
User Flow

Card Sorting

Information Architecture

Low Fidelity Wireframes



Low Fidelity Wireframes



Final Screens

Thank you
I really appreciate you for taking your valuable time and gone through the case study.
Welcoming your feedbacks and thoughts on my project!